安养养老旗下网站 - 找养老院上搜养老网

复旦华山医院团队发现,老年人每周运动3-6小时,与痴呆风险降低38%有关

  • 搜养老网
  • 2022/05/02
  • 奇点网
  • 次浏览

  痴呆是老年人残疾的主要原因之一,它会影响记忆、思维、行为和进行日常活动的能力[1]。目前,全球有超过5000万人患有痴呆症,预计到2050年这一数字将接近1.52亿[2]。除了开发有效的药物外,还可以针对一些危险因素提前作出干预,以减轻疾病负担的潜在手段。

  近日,复旦大学华山医院神经病学丁玎研究员团队联合多国家多研究团队在痴呆研究领域国际著名杂志Alzheimer’s & Dementia发表了关于体育运动和痴呆发病风险之间关系的研究成果[3]。

  该研究对来自国际联盟(COSMIC)的10个队列——11,988名参与者的纵向数据进行了汇总分析,明确了老年人群的体育运动与痴呆症的发病风险之间存在量效关系相对不运动的人,运动时长在3.1-6.0小时/周的人,痴呆症风险降低38%,这为运动循证指南的制定提供了强有力的参考依据。

  《柳叶刀》2020年关于痴呆预防、干预和护理的报告中指出,缺乏运动以及其他11种危险因素导致全球痴呆病例的40%,因此理论上干预这些危险因素可以预防或延迟痴呆的发生。虽然世界卫生组织(WHO)指南和《柳叶刀》的年度报告中均建议老年人保持适量运动以预防痴呆,但均没有推荐的运动量[4,5]。

  因此,了解运动与痴呆之间的剂量反应关系对于干预性研究的设计和运动循证指南的制定都至关重要。先前的一些研究已经发现晚年体育运动与痴呆风险之间潜在的剂量反应关系。然而,这些研究均没有收集有关体育活动的持续时间、频率和强度的详细信息,而在一些确实计算了运动量的研究中,体育运动的分类差异很大,结果也不一致。因此,老年人群中,体育运动和痴呆的剂量反应曲线的确切形状一直不清楚。

  COSMIC的记忆队列研究结合了基于人群的纵向队列研究数据,以此确定痴呆和认知衰退的常见风险和保护因素。为了研究晚年体育运动与痴呆发病率之间的剂量-反应关系,研究团队对来自COSMIC的10个队列——11,988名参与者的纵向数据进行了分析。

  10个队列的地理位置

  在10个队列研究中,运动数据均通过基线自述问卷获得。问卷内容涵盖了在娱乐活动、体育运动以及交通出行中的各类运动。调查问卷记录了这些活动的持续时间和/或频率。对于每种类型的体育活动,研究根据体育活动的能量消耗率,为其指定了一个强度单位,代谢当量(MET)一个MET被定义为1千卡/千克/小时,是大约相当于安静地坐着所消耗的能量。例如,散步的MET值为3.0,慢跑的MET值为6.0。持续时间和强度的乘积组成了身体活动量(以MET-hours为单位)

  队列研究对每个参与者进行了一系列神经、心理测试。痴呆诊断依据第四版DSM(Diagnostic and Statistical Manual of Mental Disorders)。所有10项队列研究在基线时收集了参与者的人口统计学特征(年龄、性别、教育年限)、吸烟现状和医疗史(高血压、糖尿病和中风的自我报告)的数据,中位随访时间为3到6年。

  研究中,参与者在年龄、性别比例、吸烟、高血压、糖尿病和抑郁症的流行率方面没有观察到显著差异。参与者每周进行体育活动的中位时间为4.3小时,每周进行体育活动的运动量为15.7 MET-hours。在随访期间,800例痴呆患者被诊断出来,痴呆的发病率为12.1/1000人年。

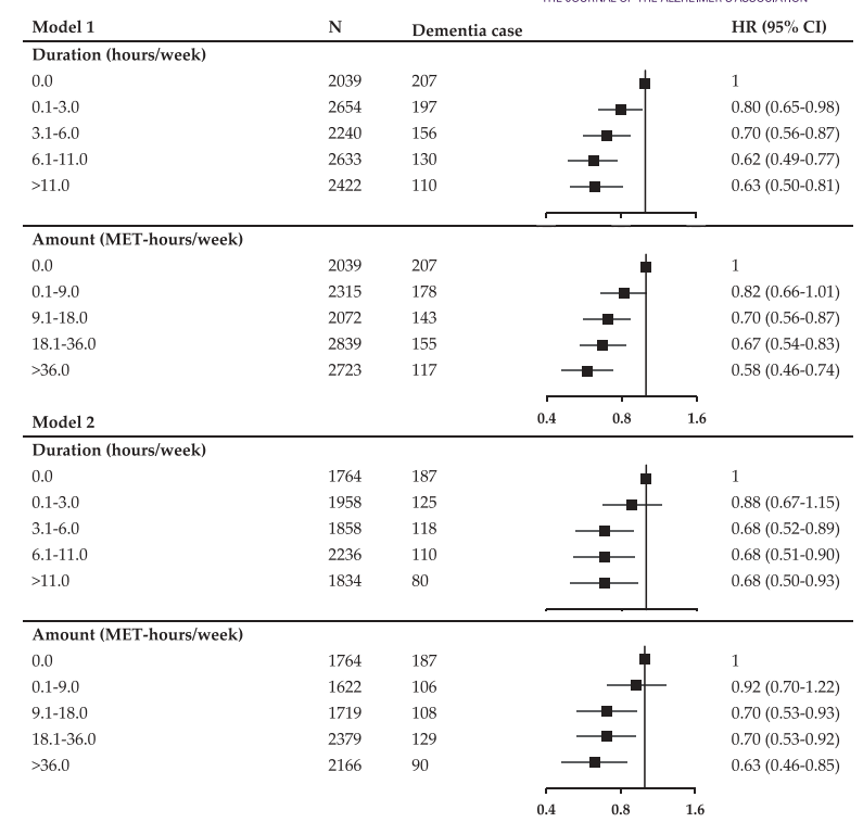
  运动时间和运动量与痴呆发病率的剂量-反应关系

  研究采用了两种模型和两种评价方式来分析体育活动和痴呆风险之间的关系。模型1调整了年龄、性别、教育年限等因素后,将体育运动时间划分为0.1至3.0小时/周,3.1至6.0小时/周,6.1至11.0小时/周,>11.0小时/周四组,HR依次为0.8,0.7,0.62和0.63可以看出随着每周运动时间的延长,痴呆发病风险逐渐降低,但是随着时间进一步的延长(>6.1小时/周),运动的“预防”作用逐渐降低

  在模型2中,研究进一步纳入了载脂蛋白E(APOEε4)、身体质量指数(BMI)、吸烟、高血压、糖尿病、中风和抑郁等因素,得到了一致的结果,即痴呆风险随着体育运动时间的增加而降低,但随着进一步延长体育运动时间(>6.1小时/周),痴呆风险几乎没有改变。

  在模型1和模型2中,根据体育活动的能量消耗率(MET)分成四个组进行体育活动量和痴呆风险之间关系的研究,进一步验证了体育活动和痴呆风险之间的关。将体育活动能量消耗量分为四组:0.1至9.0 MET-hours/每周,9.1至18.0 MET-hours/每周,18.1至36.0 MET-hours/每周,>36.0 MET-hours/每周,在模型1中,HR依次为0.82、0.7、0.67、0.58,在模型2中,HR为0.92、0.70、0.70、0.63。

  总的来说,此项研究发现了晚年的体育运动与痴呆症的发病风险之间存在剂量-反应关系;每周运动时长在6.0小时内,痴呆症风险随着运动时间的增加而降低,但进一步加大运动量,这种降低痴呆风险的保护作用则不会相应降低。

  因此,对于老年人来说,保持每周3-6小时的适量体育运动,或就足以获得足够的健康收益。尽管分析已经较为全面,研究团队也提出日后将进行跨国界、大样本、更长随访期的研究,以便更加客观提供体育运动数据来支撑体育运动和痴呆之间的量效关系,我相信日益完善的研究数据将更精准地指导老年人进行体育运动来预防痴呆。
 

  参考文献:

  1.https://www.who.int/news-room/fact-sheets/detail/dementia. Accessed June 6, 2021

  2.https://www.alzint.org/about/dementia-facts-figures/.Accessed July 6, 2021

  3.Wu W, Ding D, Zhao Q, Xiao Z, Luo J, Ganguli M, et al. Dose-response relationship between late-life physical activity and incident dementia: A pooled analysis of 10 cohort studies of memory in an international consortium. Alzheimers Dement. 2022.

  4.Livingston G, Huntley J, Sommerlad A, Ames D, Ballard C, Banerjee S, et al. Dementia prevention, intervention, and care: 2020 report of the Lancet Commission. Lancet. 2020;396(10248):413-46.

  5.WHO Guidelines Approved by the Guidelines Review Committee.  Risk Reduction of Cognitive Decline and Dementia: WHO Guidelines. Geneva: World Health Organization

版权声明:本文的版权归原作者所有,不代表幸福老年养老网观点和立场。
本站仅提供信息存储空间服务,不拥有所有权,不承担相关法律责任。如发现本站有涉嫌抄袭侵权/违法违规的内容,请发送邮件至 shayyl@qq.com 举报,一经查实,本站将立刻删除。

相关推荐

老年人如何预防肛肠疾病? 这些预防方法请收好

肛肠疾病是生活中的常见病、多发病,发病率往往随着年龄的增大而增加,老年人由于身体机能

电话、现场、上门服务……泰安市社保中心多举措方便老

近日,市社保中心聚焦公共服务领域涉及老年人的高频事项和服务场景,瞄准老年人办事可能遇

老年大学进社区:烟台1.8万老年人家门口圆“大学梦”

近年来,市委老干部局将“老年大学进社区”工作纳入城市党建“大盘子”,创新打造暖心工程

五年成功运营,这样的养老社区更适合老年人生活

 作为北京创新的集中式居家养老社区,恭和家园凭借专业、系统的服务,在疫情发生后的近三

空巢老人占老年人口过半 中国部署开展特困老人探访关

目前,中国老年人口中空巢老人占比过半。为解决包括空巢、独居、失能等老年人在内的特殊

老年人也要提倡素质教育?上海老龄化人口近四分之一,这些

老年人也要提倡素质教育吗?这与提倡青少年素质教育有何不同?26日,上海市老年学校素质教育